圖17.2輕型井點降水布置示意圖
兩者的主要區別在于:①管井是單獨作用的排水設備,輕型井點則是一個排水系統;②管井排水中地下水在重力作用下進入管井,輕型井點排水中地下水由其他設備的抽吸作用流入井管。
28.什么是基本烈度?
答:地震烈度是指某一地區的地面和建筑物遭受一次地震影響的強弱程度。烈度的工程意義是作為抗震設防的標準,常分為基本烈度和設計烈度。
基本烈度是指一個地區在今后100年內,在一般場地條件下可能遇到的最大地震烈度。
29.通用硅酸鹽水泥包括哪些水泥?
答:硅酸鹽水泥、普通硅酸鹽水泥、礦渣硅酸鹽水泥、火山灰硅酸鹽水泥、粉煤灰硅酸鹽水泥和復合硅酸鹽水泥。
30.什么是水泥的安定性?
答:水泥的安定性即體積安定性,是指水泥在凝結硬化過程中體積變化是否均勻的性質。
水泥漿體在硬化過程中體積發生不均勻變化時導致的膨脹開裂、翹曲等現象,稱為體積安定性不良。安定性不良的水泥會使混凝土構件產生膨脹性裂縫,從而降低建筑物質量,甚至引起嚴重事故。
31.混凝土的抗凍性是否用循環次數表示?
答:混凝土的抗凍性是指混凝土在水飽和狀態下,經受多次凍融循環作用,能保持強度和外觀完整性的能力。
混凝土抗凍性一般以抗凍等級表示。抗凍等級是采用慢凍法,以齡期28d的試塊在吸水飽和后,承受反復凍融循環,以抗壓強度下降不超過25%,而且質量損失不超過5%時所能承受的最大凍融循環次數來表示。
混凝土抗凍等級劃分為:F50、F100、F150、F200及F300等,分別表示混凝土能夠承受反復凍融循環次數為50、100、150、200和300次等。
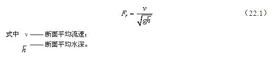
32.什么是弗汝德數?
答:弗汝德數(Froudenumber),流體力學中表征流體慣性力和重力相對大小的一個無量綱參數,記為Fr.在水力學中,用下式表示:
