中級經濟基礎輔導資料:指數體系
(一)總量指數與指數體系
總量指數:由兩個不同時期的總量對比形成的相對數。

綜合總量指數的一般形式可以寫為:
為分析總量指數變動中各因素的影響方向和程度,可以對總量指數進行分解,得到各個因素指數。我們把由總量指數及其若干個因素指數構成的數量關系式稱為指數體系。
(二)指數體系的分析與應用
利用指數體系既可以對現象發展的相對變化程度及各因素的影響程度進行分析,也可以對現象發展變化的絕對數量及各因素的影響數額進行分析。
在實際分析中,比較常用的是基期權數加權的數量指數和報告期權數加權的質量指數形成的指數體系。該指數體系可表示為:

即:總量變動=質量變動的影響額 數量變動的影響額
三者之間的數量關系為:銷售額指數=價格指數×銷售量指數
從絕對變動水平來看:
三者之間的數量關系為:銷售額變動=價格變動的影響額 銷售量變動的影響額
例題:
1.指數體系的作用是( )。
A.為選擇指數計算方法提供依據 B.為選擇指數基期提供依據 C.為編制時間序列提供參考
D.對現象發展的相對變化程度及各因素的影響程度進行分析
E.對現象發展變化的絕對數量及各因素的影響數額進行分析
『正確答案』DE
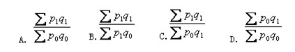
2.(2006年) 在利用指數體系分析價格(用p表示)和銷售量(用q表示)變動對銷售額的影響時,銷售量指數的計算公式是( )。

『正確答案』D