初級工商管理輔導:企業價值最大化
以企業價值最大化作為財務管理的目標,比以股東財富最大化作為財務管理目標更科學。
從計量上來看,企業價值是企業未來一定年限內實現的稅后利潤按照一定標準貼現后的現在價值。企業價值越大,表明企業效益越好。
企業價值一般與企業收益、貼現率有關。
折現率不變,收益越大,價值越大;收益一定時,折現率越大,價值越小。
折現率取決于風險,風險越高,折現率高;風險越低,折現率越小。
企業價值與預期收益成正比,與預期風險成正比。
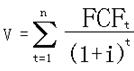
企業價值公式

V——企業價值
T——取得報酬具體時間
FCFt——第t年的企業報酬,通常用現金流量表示
i——與企業風險相適應的折現率
優點:(1)考慮了報酬實現的時間
(2)考慮風險與報酬的關系
(3)克服短期行為
(4)把各方利益納入企業價值指標
當前學術界比較認可的企業理財目標是企業價值最大化。
例題:以每股收益(權益資本凈利率)最大化目標的缺點有()
A沒有考慮利潤取得的時間,忽視了資金的時間價值;
B沒有有效考慮取得利潤所承擔的風險問題
C沒有考慮投入產出的關系
D片面追求利潤最大化,導致短期行為
E股票價格受多方因素影響,并非企業能控制
答案:AB
例題:財務管理主要有以下幾種觀點( )。
A.以利潤最大化為目標 B.以收入最大化為目標 C.以每股收益最大化為目標
D.以股東財富最大化為目標 E.以企業價值最大化為目標
答案:ACDE
例題:當前學術界比較人口的企業理財目標是( )。
A.以利潤最大化為目標 B.以企業價值最大化為目標
C.以每股收益最大化為目標 D.以股東財富最大化為目標
答案:B