初級工商管理輔導:生產過程的時間組織 生產過程
一、概念----時間上對勞動對象在車間、工段之間遺跡工作地之間的運動配合與銜接進行合理安排和設計。
二、順序移動方式----多道工序加工,在上一工序全部加工完畢后再搬到下一工序加工 (周期長)

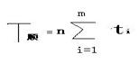
n:批量
m:加工工序的道數,
ti:第i道工序的單件工時
例題9:某零件批量為n=3件,加工工序m=4,每道工序加工時間為t1=10分鐘,t2=5分鐘,t3=20分鐘t4=10分鐘,按順序移動方式計算生產周期。
T=3×(10 5 20 10)=135分鐘
三、平行移動方式----每個零件上一工序完工后,立即投入到下一工序加工。

T平:平行移動法下的產品加工生產周期
n:批量
m:加工工序的道數,
ti:第i道工序的單件工時 ,
t最長:在各道工序中,單件工時最長的那道工序的單件工時,
例題10:某零件批量為n=3件,加工工序m=4,每道工序加工時間為t1=10分鐘,t2=5分鐘,t3=20分鐘t4=10分鐘,按平行移動方式計算生產周期。
T=(10 5 20 10) (3-1)×20=85分鐘