初級財政稅收輔導:財務管理的基本價值觀念風險價值
(一) 風險價值概念
風險是指由于未來影響因素的不確定性而導致其財務成果的不確定性。
風險報酬又稱風險價值,是指投資者由于冒著風險進行投資而獲得的超過資金的時間價值的額外收益。
風險報酬有兩種表示方法:風險報酬額和風險報酬率。
投資報酬率 = 資金時間價值 風險報酬率 = 無風險報酬率 風險報酬率
風險程度越高,要求的報酬率就越高。
(二) 單項資產(或單項投資項目)的風險衡量
對風險的衡量通常會有以下幾個環節:
1. 確定
概率是用百分數或小數來表示隨機事件發生可能性及出現某種結果可能性大小的數值。
概率分布是江水及時間各種可能的結果按一定的規律進行排列,同時列出各種結果出現的相應概率,這一完整描述即概率分布。
(1)所有概率Pi均在0~1之間。不會大于1,也不會小于0.
(2)所有結果的概率和等于1.
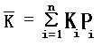
2. 計算期望值
期望值是一個概率分布中的所有可能結果,以各自相應的概率為全書計算的加權平均值。

當概率分布越集中,實際可能的結果就會越接近預期收益,實際收益率低于預期收益率的可能性就越小,風險程度就越小;反之,亦然。
例題:某公司開發A或B產品。假設預期收益只受市場情況影響,如下表:
| 市場情況 | 發生概率 | 預期報酬率 | |
| A(%) | B(%) | ||
| 繁榮 | 0.3 | 60 | 80 |
| 一般 | 0.5 | 50 | 50 |
| 蕭條 | 0.2 | 20 | -10 |
A的預期報酬率=K1P1 K2P2 K3P3=60%*0.3 50%*0.5 20%*0.2=47%
B的預期報酬率=K1P1 K2P2 K3P3=80%*0.3 50%*0.5 (-10%)*0.2=47%
通過計算可知,AB的預期報酬率相同,但B產品預期報酬率分散程度比A大,B的風險要高。