中級財政稅收輔導資料:儲存合理化
(一)儲存的概念和作用
1.概念
2.作用
儲存與運輸是物流系統中的兩大支柱。
儲存的作用具體表現為:調節供應和需求;提高運輸效率,降低運輸成本;進行商品整合;支持企業的銷售服務。。
(二)儲存合理化的條件
1.遵循倉庫網絡規劃的原則
(1)一致性
(2)服務性
(3)經濟性
2.倉庫數量的確定
倉庫數量的多少主要受物流成本、顧客服務的需要、運輸服務水平、中轉供貨的比例、單個倉庫的規模、計算機網絡的運用等因素的影響。
(1)物流成本。一般而言,隨著倉庫數量的增加,運輸成本和失銷成本會減少,而存貨成本和倉儲成本將增加。
首先,由于倉庫數量的增加,企業可以進行大批量運輸,所以運輸成本會下降。
其次,由于倉庫數量增加時,總的存儲空間也會相應地擴大,因此倉儲成本會上升。
再次,當倉庫數量增加時,總存貨量就會增加,相應的存貨成本就會增加。
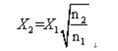
最后,庫存的平方根定律解釋了如果減少倉庫的數量,貨主的安全庫存就會在總體上大幅度減少。這個定律揭示了未來倉庫數量產生的總庫存等于未來倉庫數量與現有倉庫數量二者商的平方根與現有總庫存的乘積。計算公式為:

式中: n1——現有倉庫的數量;
n2——未來倉庫設施的數量;
X1——現有倉庫中的總庫存量;
X2——未來倉庫中的總庫存量。
(2)客戶服務的需要。
(3)運輸服務的水平。
(4)中轉供貨的比例。
(5)計算機網絡的應用。
(6)單個倉庫的規模。