13.

14.
15.發展速度:報告期發展水平與基期發展水平之比,用于描述現象在觀察期內的發展變化程度。 分為定基發展速度和環比發展速度
16.增長速度:也稱增長率,是增長量與基期水平之比,用于描述現象的相對增長程度。按照采用基期的不同,增長速度可分為定基增長速度與環比增長速度,兩者之間沒有直接的換算關系,在由環比增長速度推算定基增長速度時,可先將各環比增長速度加1后連乘,再將結果減1,即得定基增長速度
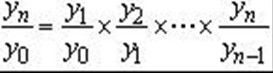
17.第一,定基發展速度等于相應時期內各環比發展速度的連乘積:
18.

19.第二,兩個相鄰時期定基發展速度的比率等于相應時期的環比發展速度:
20.

21.
